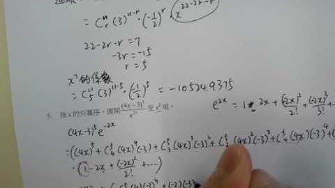
HKDSE 2015 Maths M1 Q05: Binomial Theorem 二項式定理, Exponential Series 指數級數

Tonton & Download Video Musik Gratis

⬇ DOWNLOAD NOW
Kalau muncul iklan pop-up, tutup lalu klik tombol kembali

Download lagu HKDSE 2015 Maths M1 Q05: Binomial Theorem 二項式定理, Exponential Series 指數級數 secara gratis hanya untuk keperluan promosi. Dukung artis favorit kamu dengan membeli musik original di iTunes atau platform resmi lainnya.