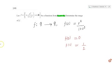
Let f : R→ R be defined by f(x)=x/(1+x^2 ),x∈R, . Then the range of f is :

Tonton & Download Video Musik Gratis

⬇ DOWNLOAD NOW
Kalau muncul iklan pop-up, tutup lalu klik tombol kembali

Download lagu Let f : R→ R be defined by f(x)=x/(1+x^2 ),x∈R, . Then the range of f is : secara gratis hanya untuk keperluan promosi. Dukung artis favorit kamu dengan membeli musik original di iTunes atau platform resmi lainnya.