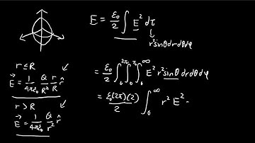
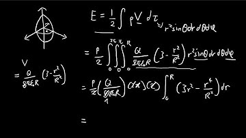
Griffiths Electrodynamics Problem 2.34: Energy of Charged Sphere, 3 Different Methods

Tonton & Download Video Musik Gratis

⬇ DOWNLOAD NOW
Kalau muncul iklan pop-up, tutup lalu klik tombol kembali

Download lagu Griffiths Electrodynamics Problem 2.34: Energy of Charged Sphere, 3 Different Methods secara gratis hanya untuk keperluan promosi. Dukung artis favorit kamu dengan membeli musik original di iTunes atau platform resmi lainnya.