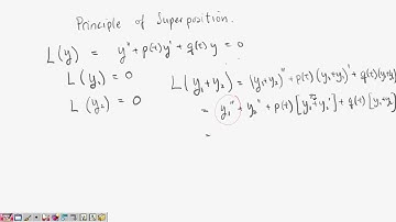
2555 Math 3 lecture 9 Ch 3 1 Second order Linear homogeneous equations

Tonton & Download Video Musik Gratis

⬇ DOWNLOAD NOW
Kalau muncul iklan pop-up, tutup lalu klik tombol kembali

Download lagu 2555 Math 3 lecture 9 Ch 3 1 Second order Linear homogeneous equations secara gratis hanya untuk keperluan promosi. Dukung artis favorit kamu dengan membeli musik original di iTunes atau platform resmi lainnya.