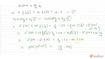
if for nonzero x, `af(x) + bf(1/x) =1/x-5`, where `a!=b` then f(2) =

Tonton & Download Video Musik Gratis

⬇ DOWNLOAD NOW
Kalau muncul iklan pop-up, tutup lalu klik tombol kembali

Download lagu if for nonzero x, `af(x) + bf(1/x) =1/x-5`, where `a!=b` then f(2) = secara gratis hanya untuk keperluan promosi. Dukung artis favorit kamu dengan membeli musik original di iTunes atau platform resmi lainnya.