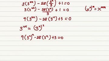
Indices & Indical Equations leading to Simultaneous & Quadratic Equations solved by Ajaks!

Tonton & Download Video Musik Gratis

⬇ DOWNLOAD NOW
Kalau muncul iklan pop-up, tutup lalu klik tombol kembali

Download lagu Indices & Indical Equations leading to Simultaneous & Quadratic Equations solved by Ajaks! secara gratis hanya untuk keperluan promosi. Dukung artis favorit kamu dengan membeli musik original di iTunes atau platform resmi lainnya.