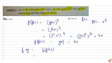
Let f(x) = 8x³ and g(x) = x^1/3 . Find gof and fog

Tonton & Download Video Musik Gratis

⬇ DOWNLOAD NOW
Kalau muncul iklan pop-up, tutup lalu klik tombol kembali

Download lagu Let f(x) = 8x³ and g(x) = x^1/3 . Find gof and fog secara gratis hanya untuk keperluan promosi. Dukung artis favorit kamu dengan membeli musik original di iTunes atau platform resmi lainnya.