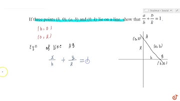
If three points (h, 0), (a, b) and (o, k) lie on a line, show that `a/h+b/k=1` ....

Tonton & Download Video Musik Gratis

⬇ DOWNLOAD NOW
Kalau muncul iklan pop-up, tutup lalu klik tombol kembali

Download lagu If three points (h, 0), (a, b) and (o, k) lie on a line, show that `a/h+b/k=1` .... secara gratis hanya untuk keperluan promosi. Dukung artis favorit kamu dengan membeli musik original di iTunes atau platform resmi lainnya.