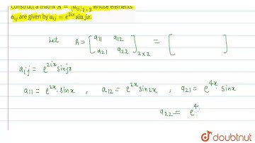
Construct a `3 xx2` matrix whose elements are given by `a_(i j)=1/2|i-3j|` ....

Tonton & Download Video Musik Gratis

⬇ DOWNLOAD NOW
Kalau muncul iklan pop-up, tutup lalu klik tombol kembali

Download lagu Construct a `3 xx2` matrix whose elements are given by `a_(i j)=1/2|i-3j|` .... secara gratis hanya untuk keperluan promosi. Dukung artis favorit kamu dengan membeli musik original di iTunes atau platform resmi lainnya.