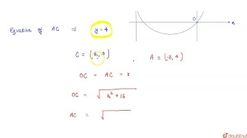
The line y = x touches a circle at point (1, 1). if circle also passes through (1, -3), then radius

Tonton & Download Video Musik Gratis

⬇ DOWNLOAD NOW
Kalau muncul iklan pop-up, tutup lalu klik tombol kembali

Download lagu The line y = x touches a circle at point (1, 1). if circle also passes through (1, -3), then radius secara gratis hanya untuk keperluan promosi. Dukung artis favorit kamu dengan membeli musik original di iTunes atau platform resmi lainnya.