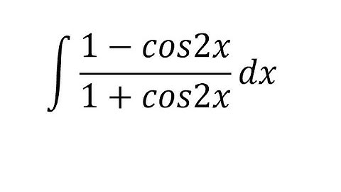
Calculus Help: Integral of (1+cos^2⁡x)/(1+cos2x) dx - Integration by trigonometry

Tonton & Download Video Musik Gratis

⬇ DOWNLOAD NOW
Kalau muncul iklan pop-up, tutup lalu klik tombol kembali

Download lagu Calculus Help: Integral of (1+cos^2⁡x)/(1+cos2x) dx - Integration by trigonometry secara gratis hanya untuk keperluan promosi. Dukung artis favorit kamu dengan membeli musik original di iTunes atau platform resmi lainnya.