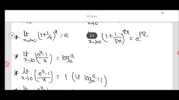
Dsc maths content useful for SGT and SA aspirants #apdsc #mathscontent #dsc maths #dscbadi

Tonton & Download Video Musik Gratis

⬇ DOWNLOAD NOW
Kalau muncul iklan pop-up, tutup lalu klik tombol kembali

Download lagu Dsc maths content useful for SGT and SA aspirants #apdsc #mathscontent #dsc maths #dscbadi secara gratis hanya untuk keperluan promosi. Dukung artis favorit kamu dengan membeli musik original di iTunes atau platform resmi lainnya.