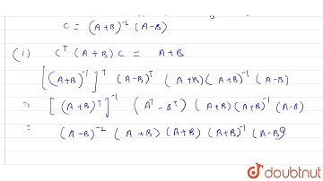
If A is a symmetric and B skew symmetric matrix and (A+B) is non-singular and C=(A+B)^-1(A-B), th...

Tonton & Download Video Musik Gratis

⬇ DOWNLOAD NOW
Kalau muncul iklan pop-up, tutup lalu klik tombol kembali

Download lagu If A is a symmetric and B skew symmetric matrix and (A+B) is non-singular and C=(A+B)^-1(A-B), th... secara gratis hanya untuk keperluan promosi. Dukung artis favorit kamu dengan membeli musik original di iTunes atau platform resmi lainnya.