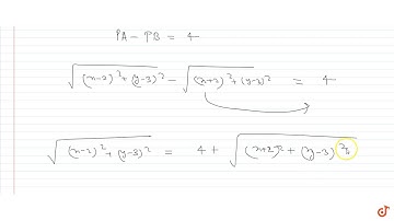
A(2,3) B(-3,4) are two points. If a point P moves such that the area of triangle PAB is 8.5 sq units

Tonton & Download Video Musik Gratis

⬇ DOWNLOAD NOW
Kalau muncul iklan pop-up, tutup lalu klik tombol kembali

Download lagu A(2,3) B(-3,4) are two points. If a point P moves such that the area of triangle PAB is 8.5 sq units secara gratis hanya untuk keperluan promosi. Dukung artis favorit kamu dengan membeli musik original di iTunes atau platform resmi lainnya.