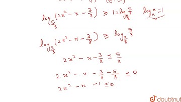
If the solution set of the inequality \(\log _{\sqrt{0.9}} \log _5\left(\sqrt{x^2+5+x}\right)\) \...

Tonton & Download Video Musik Gratis

⬇ DOWNLOAD NOW
Kalau muncul iklan pop-up, tutup lalu klik tombol kembali

Download lagu If the solution set of the inequality \(\log _{\sqrt{0.9}} \log _5\left(\sqrt{x^2+5+x}\right)\) \... secara gratis hanya untuk keperluan promosi. Dukung artis favorit kamu dengan membeli musik original di iTunes atau platform resmi lainnya.