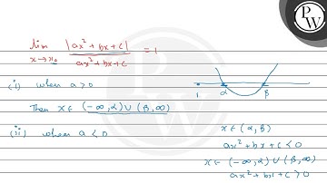
Let \( \alpha, \beta \) be the roots of equation \( a x^{2}+b x+c=0 \), where \( 1\alpha\beta \)...

Tonton & Download Video Musik Gratis

⬇ DOWNLOAD NOW
Kalau muncul iklan pop-up, tutup lalu klik tombol kembali

Download lagu Let \( \alpha, \beta \) be the roots of equation \( a x^{2}+b x+c=0 \), where \( 1\alpha\beta \)... secara gratis hanya untuk keperluan promosi. Dukung artis favorit kamu dengan membeli musik original di iTunes atau platform resmi lainnya.