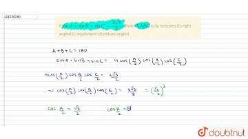
If in a A B C, 2 cos A sin C=sin B then the triangle is (a) equilateral (b) isosceles (b) right a...

Tonton & Download Video Musik Gratis

⬇ DOWNLOAD NOW
Kalau muncul iklan pop-up, tutup lalu klik tombol kembali

Download lagu If in a A B C, 2 cos A sin C=sin B then the triangle is (a) equilateral (b) isosceles (b) right a... secara gratis hanya untuk keperluan promosi. Dukung artis favorit kamu dengan membeli musik original di iTunes atau platform resmi lainnya.