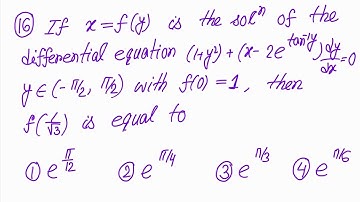
JEE Main 2025 | 22 Jan Shift 2 | Differential Equation Question Solution | Quick Concept & Trick

Tonton & Download Video Musik Gratis

⬇ DOWNLOAD NOW
Kalau muncul iklan pop-up, tutup lalu klik tombol kembali

Download lagu JEE Main 2025 | 22 Jan Shift 2 | Differential Equation Question Solution | Quick Concept & Trick secara gratis hanya untuk keperluan promosi. Dukung artis favorit kamu dengan membeli musik original di iTunes atau platform resmi lainnya.