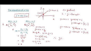
CSEC Maths Revision 2023 - Relations, Functions, Graphs & Coordinate Geometry

Tonton & Download Video Musik Gratis

⬇ DOWNLOAD NOW
Kalau muncul iklan pop-up, tutup lalu klik tombol kembali

Download lagu CSEC Maths Revision 2023 - Relations, Functions, Graphs & Coordinate Geometry secara gratis hanya untuk keperluan promosi. Dukung artis favorit kamu dengan membeli musik original di iTunes atau platform resmi lainnya.