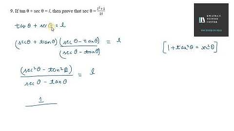
If tan theta+sec theta=l, then prove that sec theta=(l^2)+(1/2l) | Trigonometry class 10 |

Tonton & Download Video Musik Gratis

⬇ DOWNLOAD NOW
Kalau muncul iklan pop-up, tutup lalu klik tombol kembali

Download lagu If tan theta+sec theta=l, then prove that sec theta=(l^2)+(1/2l) | Trigonometry class 10 | secara gratis hanya untuk keperluan promosi. Dukung artis favorit kamu dengan membeli musik original di iTunes atau platform resmi lainnya.