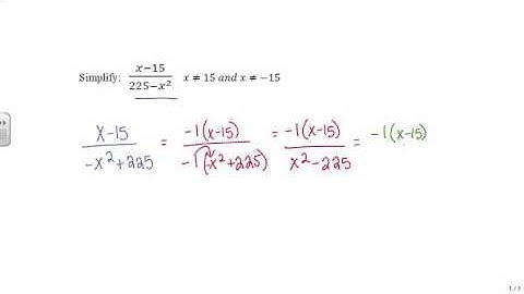
3 ALGEBRA: Simplifying Algebraic Expressions: Difference of Two Squares

Tonton & Download Video Musik Gratis

⬇ DOWNLOAD NOW
Kalau muncul iklan pop-up, tutup lalu klik tombol kembali

Download lagu 3 ALGEBRA: Simplifying Algebraic Expressions: Difference of Two Squares secara gratis hanya untuk keperluan promosi. Dukung artis favorit kamu dengan membeli musik original di iTunes atau platform resmi lainnya.