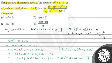
The number of distinct real roots of the equation \(3 x^4+\) \(4 x^3-12 x^2+4=0\) is _____ .....

Tonton & Download Video Musik Gratis

⬇ DOWNLOAD NOW
Kalau muncul iklan pop-up, tutup lalu klik tombol kembali

Download lagu The number of distinct real roots of the equation \(3 x^4+\) \(4 x^3-12 x^2+4=0\) is _____ ..... secara gratis hanya untuk keperluan promosi. Dukung artis favorit kamu dengan membeli musik original di iTunes atau platform resmi lainnya.