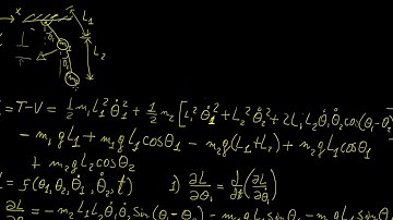
Part 2 of DOUBLE Pendulum Simulation – Applying the Euler-Lagrange equation

Tonton & Download Video Musik Gratis

⬇ DOWNLOAD NOW
Kalau muncul iklan pop-up, tutup lalu klik tombol kembali

Download lagu Part 2 of DOUBLE Pendulum Simulation – Applying the Euler-Lagrange equation secara gratis hanya untuk keperluan promosi. Dukung artis favorit kamu dengan membeli musik original di iTunes atau platform resmi lainnya.