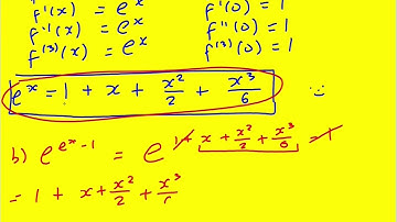
EdExcel A-Level Further Maths June 2023 Paper 2 (Core Pure 2)

Tonton & Download Video Musik Gratis

⬇ DOWNLOAD NOW
Kalau muncul iklan pop-up, tutup lalu klik tombol kembali

Download lagu EdExcel A-Level Further Maths June 2023 Paper 2 (Core Pure 2) secara gratis hanya untuk keperluan promosi. Dukung artis favorit kamu dengan membeli musik original di iTunes atau platform resmi lainnya.