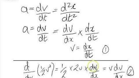
Velocity of a particle moving in a straight line varies with its displacement as `v=(sqrt(4 +4s)...

Tonton & Download Video Musik Gratis

⬇ DOWNLOAD NOW
Kalau muncul iklan pop-up, tutup lalu klik tombol kembali

Download lagu Velocity of a particle moving in a straight line varies with its displacement as `v=(sqrt(4 +4s)... secara gratis hanya untuk keperluan promosi. Dukung artis favorit kamu dengan membeli musik original di iTunes atau platform resmi lainnya.