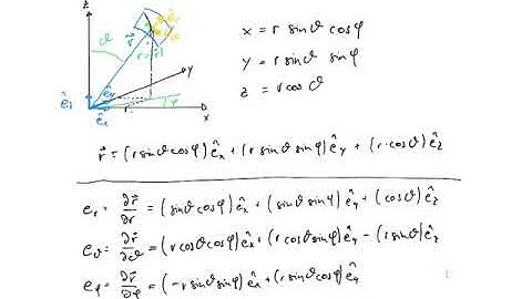
Derive the Laplacian for a Spherical Coordinate System in 4 Steps

Tonton & Download Video Musik Gratis

⬇ DOWNLOAD NOW
Kalau muncul iklan pop-up, tutup lalu klik tombol kembali

Download lagu Derive the Laplacian for a Spherical Coordinate System in 4 Steps secara gratis hanya untuk keperluan promosi. Dukung artis favorit kamu dengan membeli musik original di iTunes atau platform resmi lainnya.