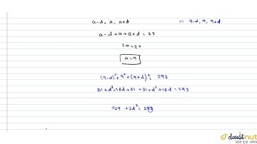
JEE MAINS 2018 The sum of three numbers in A.P. is 27, and their product is 504, find them.

Tonton & Download Video Musik Gratis

⬇ DOWNLOAD NOW
Kalau muncul iklan pop-up, tutup lalu klik tombol kembali

Download lagu JEE MAINS 2018 The sum of three numbers in A.P. is 27, and their product is 504, find them. secara gratis hanya untuk keperluan promosi. Dukung artis favorit kamu dengan membeli musik original di iTunes atau platform resmi lainnya.