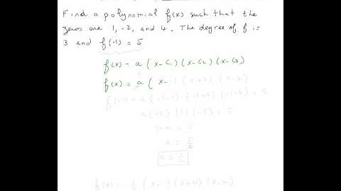
11.2 Example 4 Finding a Polynomial Function That Satisfies Given Conditions Real Zeros

Tonton & Download Video Musik Gratis

⬇ DOWNLOAD NOW
Kalau muncul iklan pop-up, tutup lalu klik tombol kembali

Download lagu 11.2 Example 4 Finding a Polynomial Function That Satisfies Given Conditions Real Zeros secara gratis hanya untuk keperluan promosi. Dukung artis favorit kamu dengan membeli musik original di iTunes atau platform resmi lainnya.