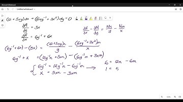
Non-Exact DEs with φ = (x^m )(y^n ), Example 02 (01/03)

Tonton & Download Video Musik Gratis

⬇ DOWNLOAD NOW
Kalau muncul iklan pop-up, tutup lalu klik tombol kembali

Download lagu Non-Exact DEs with φ = (x^m )(y^n ), Example 02 (01/03) secara gratis hanya untuk keperluan promosi. Dukung artis favorit kamu dengan membeli musik original di iTunes atau platform resmi lainnya.