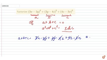
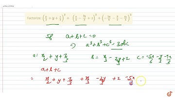
Factorize: ltmath gt ltmrow gt ltmsup gt ltmrow gt ltmrow gt ltmo gt( lt/mo gt ltmrow g

Tonton & Download Video Musik Gratis

⬇ DOWNLOAD NOW
Kalau muncul iklan pop-up, tutup lalu klik tombol kembali

Download lagu Factorize: ltmath gt ltmrow gt ltmsup gt ltmrow gt ltmrow gt ltmo gt( lt/mo gt ltmrow g secara gratis hanya untuk keperluan promosi. Dukung artis favorit kamu dengan membeli musik original di iTunes atau platform resmi lainnya.