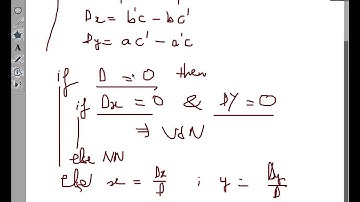
[PASCAL Bá Đạo] Tập 7: Giải và biện luận phương trình bậc 2 ax^2+bx+c=0

Tonton & Download Video Musik Gratis

⬇ DOWNLOAD NOW
Kalau muncul iklan pop-up, tutup lalu klik tombol kembali

Download lagu [PASCAL Bá Đạo] Tập 7: Giải và biện luận phương trình bậc 2 ax^2+bx+c=0 secara gratis hanya untuk keperluan promosi. Dukung artis favorit kamu dengan membeli musik original di iTunes atau platform resmi lainnya.