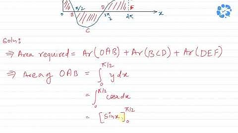
Find the area bounded by the curve y = cos x between x = 0 to x = 2π | Example 4 NCERT@studypointpro

Tonton & Download Video Musik Gratis

⬇ DOWNLOAD NOW
Kalau muncul iklan pop-up, tutup lalu klik tombol kembali

Download lagu Find the area bounded by the curve y = cos x between x = 0 to x = 2π | Example 4 NCERT@studypointpro secara gratis hanya untuk keperluan promosi. Dukung artis favorit kamu dengan membeli musik original di iTunes atau platform resmi lainnya.