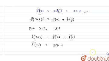
If f:R-R satisfies f(x+y)=f(x)+f(y), for all x,y belongs R and f(1)=7, then sigma r=1 to n f(r) is,

Tonton & Download Video Musik Gratis

⬇ DOWNLOAD NOW
Kalau muncul iklan pop-up, tutup lalu klik tombol kembali

Download lagu If f:R-R satisfies f(x+y)=f(x)+f(y), for all x,y belongs R and f(1)=7, then sigma r=1 to n f(r) is, secara gratis hanya untuk keperluan promosi. Dukung artis favorit kamu dengan membeli musik original di iTunes atau platform resmi lainnya.