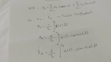
Trigonometric Fourier Series Problem 3(Waveform Symmetry)|| EE 307 EC202||Signals and Systems

Tonton & Download Video Musik Gratis

⬇ DOWNLOAD NOW
Kalau muncul iklan pop-up, tutup lalu klik tombol kembali

Download lagu Trigonometric Fourier Series Problem 3(Waveform Symmetry)|| EE 307 EC202||Signals and Systems secara gratis hanya untuk keperluan promosi. Dukung artis favorit kamu dengan membeli musik original di iTunes atau platform resmi lainnya.