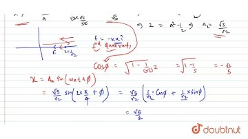
A particle of mass \( 1 \mathrm{~kg} \) is subjected to a force which depends on the position as...

Tonton & Download Video Musik Gratis

⬇ DOWNLOAD NOW
Kalau muncul iklan pop-up, tutup lalu klik tombol kembali

Download lagu A particle of mass \( 1 \mathrm{~kg} \) is subjected to a force which depends on the position as... secara gratis hanya untuk keperluan promosi. Dukung artis favorit kamu dengan membeli musik original di iTunes atau platform resmi lainnya.