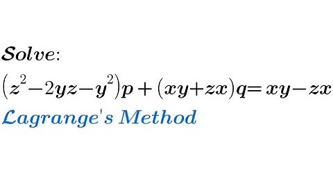
Partial Differential Equation of First Order :Lagrange's Method |Q. Solve y^2z/x.p+zx.q=y^2 |

Tonton & Download Video Musik Gratis

⬇ DOWNLOAD NOW
Kalau muncul iklan pop-up, tutup lalu klik tombol kembali

Download lagu Partial Differential Equation of First Order :Lagrange's Method |Q. Solve y^2z/x.p+zx.q=y^2 | secara gratis hanya untuk keperluan promosi. Dukung artis favorit kamu dengan membeli musik original di iTunes atau platform resmi lainnya.