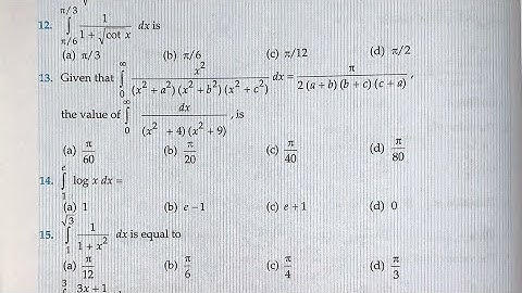
DEFINITE INTEGRAL REVISION EXERCISE Q1 TO Q14 CHAPTER 19 SOLUTION OF CLASS 12 RD SHARMA(PART1)

Tonton & Download Video Musik Gratis

⬇ DOWNLOAD NOW
Kalau muncul iklan pop-up, tutup lalu klik tombol kembali

Download lagu DEFINITE INTEGRAL REVISION EXERCISE Q1 TO Q14 CHAPTER 19 SOLUTION OF CLASS 12 RD SHARMA(PART1) secara gratis hanya untuk keperluan promosi. Dukung artis favorit kamu dengan membeli musik original di iTunes atau platform resmi lainnya.