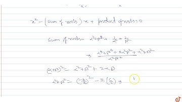
If α, β are the roots of ax2 + bx + c = 0, then the equation whose roots are 2 + &alp....

Tonton & Download Video Musik Gratis

⬇ DOWNLOAD NOW
Kalau muncul iklan pop-up, tutup lalu klik tombol kembali

Download lagu If α, β are the roots of ax2 + bx + c = 0, then the equation whose roots are 2 + &alp.... secara gratis hanya untuk keperluan promosi. Dukung artis favorit kamu dengan membeli musik original di iTunes atau platform resmi lainnya.