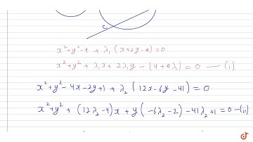
Tangents are drawn to circle x^2+y^2=1 at its intersection points (distinct) with the circle x^2+...

Tonton & Download Video Musik Gratis

⬇ DOWNLOAD NOW
Kalau muncul iklan pop-up, tutup lalu klik tombol kembali

Download lagu Tangents are drawn to circle x^2+y^2=1 at its intersection points (distinct) with the circle x^2+... secara gratis hanya untuk keperluan promosi. Dukung artis favorit kamu dengan membeli musik original di iTunes atau platform resmi lainnya.