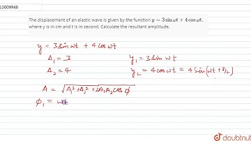
The displacement y in cm is given in terms of time t sec by the equation y=3sin314t+4cos314t The...

Tonton & Download Video Musik Gratis

⬇ DOWNLOAD NOW
Kalau muncul iklan pop-up, tutup lalu klik tombol kembali

Download lagu The displacement y in cm is given in terms of time t sec by the equation y=3sin314t+4cos314t The... secara gratis hanya untuk keperluan promosi. Dukung artis favorit kamu dengan membeli musik original di iTunes atau platform resmi lainnya.