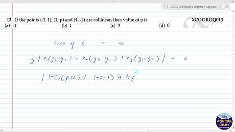
Find the value of p for which the points (-5,1), (1,p) and (4,-2) are collinear.

Tonton & Download Video Musik Gratis

⬇ DOWNLOAD NOW
Kalau muncul iklan pop-up, tutup lalu klik tombol kembali

Download lagu Find the value of p for which the points (-5,1), (1,p) and (4,-2) are collinear. secara gratis hanya untuk keperluan promosi. Dukung artis favorit kamu dengan membeli musik original di iTunes atau platform resmi lainnya.