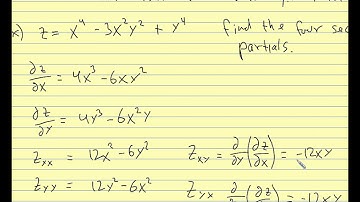
Calc III 2018 13.3 pt. 2 Higher Order Partial Derivatives

Tonton & Download Video Musik Gratis

⬇ DOWNLOAD NOW
Kalau muncul iklan pop-up, tutup lalu klik tombol kembali

Download lagu Calc III 2018 13.3 pt. 2 Higher Order Partial Derivatives secara gratis hanya untuk keperluan promosi. Dukung artis favorit kamu dengan membeli musik original di iTunes atau platform resmi lainnya.