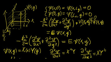
Lecture 8: Particle in a Two Dimensional Box (Infinite Barrier)

Tonton & Download Video Musik Gratis

⬇ DOWNLOAD NOW
Kalau muncul iklan pop-up, tutup lalu klik tombol kembali

Download lagu Lecture 8: Particle in a Two Dimensional Box (Infinite Barrier) secara gratis hanya untuk keperluan promosi. Dukung artis favorit kamu dengan membeli musik original di iTunes atau platform resmi lainnya.