Tonton & Download Video Musik Gratis
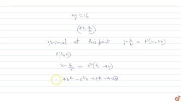
Download lagu A pointmoves such that sum of the slopes of the normals drawn from it to the hyperbola x y=16 is ... secara gratis hanya untuk keperluan promosi. Dukung artis favorit kamu dengan membeli musik original di iTunes atau platform resmi lainnya.