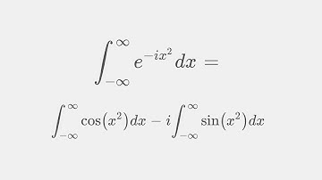
Complex analysis: integral of cos(x^2), integral of sin(x^2) Fresnel integrals

Tonton & Download Video Musik Gratis

⬇ DOWNLOAD NOW
Kalau muncul iklan pop-up, tutup lalu klik tombol kembali

Download lagu Complex analysis: integral of cos(x^2), integral of sin(x^2) Fresnel integrals secara gratis hanya untuk keperluan promosi. Dukung artis favorit kamu dengan membeli musik original di iTunes atau platform resmi lainnya.