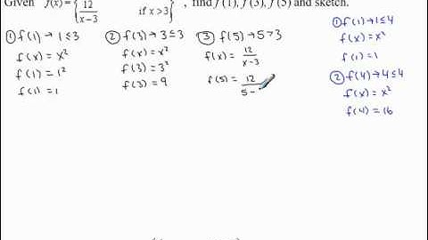
Java || CSE110 || Piecewise Function || Task-09 || Assignment-03 || HW-03

Tonton & Download Video Musik Gratis

⬇ DOWNLOAD NOW
Kalau muncul iklan pop-up, tutup lalu klik tombol kembali

Download lagu Java || CSE110 || Piecewise Function || Task-09 || Assignment-03 || HW-03 secara gratis hanya untuk keperluan promosi. Dukung artis favorit kamu dengan membeli musik original di iTunes atau platform resmi lainnya.