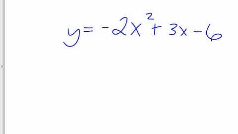
Sec 1.1.4 Mins/Maxes, Increasing/Decreasing, End Behavior

Tonton & Download Video Musik Gratis

⬇ DOWNLOAD NOW
Kalau muncul iklan pop-up, tutup lalu klik tombol kembali

Download lagu Sec 1.1.4 Mins/Maxes, Increasing/Decreasing, End Behavior secara gratis hanya untuk keperluan promosi. Dukung artis favorit kamu dengan membeli musik original di iTunes atau platform resmi lainnya.