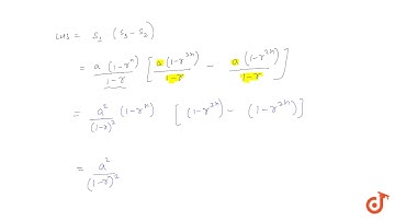
The sum of n, 2n, 3n terms of an A.P. are `S_1, S_2, S_3` respectively. Prove that `S_3 = 3(S_...

Tonton & Download Video Musik Gratis

⬇ DOWNLOAD NOW
Kalau muncul iklan pop-up, tutup lalu klik tombol kembali

Download lagu The sum of n, 2n, 3n terms of an A.P. are `S_1, S_2, S_3` respectively. Prove that `S_3 = 3(S_... secara gratis hanya untuk keperluan promosi. Dukung artis favorit kamu dengan membeli musik original di iTunes atau platform resmi lainnya.