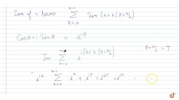
If alpha + beta = pi prove that (cos alpha + i * sin alpha)(cos beta + i * sin beta) = - 1

Tonton & Download Video Musik Gratis

⬇ DOWNLOAD NOW
Kalau muncul iklan pop-up, tutup lalu klik tombol kembali

Download lagu If alpha + beta = pi prove that (cos alpha + i * sin alpha)(cos beta + i * sin beta) = - 1 secara gratis hanya untuk keperluan promosi. Dukung artis favorit kamu dengan membeli musik original di iTunes atau platform resmi lainnya.