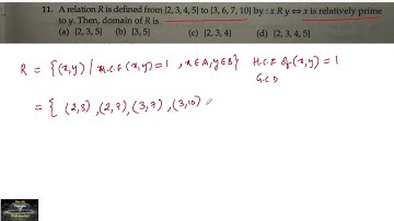
A relation R on the set {1, 2, 3, 4, 5, 6, 7} defined by (x, y)∈R ⟺ x id relatively prime to y

Tonton & Download Video Musik Gratis

⬇ DOWNLOAD NOW
Kalau muncul iklan pop-up, tutup lalu klik tombol kembali

Download lagu A relation R on the set {1, 2, 3, 4, 5, 6, 7} defined by (x, y)∈R ⟺ x id relatively prime to y secara gratis hanya untuk keperluan promosi. Dukung artis favorit kamu dengan membeli musik original di iTunes atau platform resmi lainnya.